مقایسه آماری ۱۰کلید واژه احمدینژاد و روحانی در سازمان ملل + نمودار
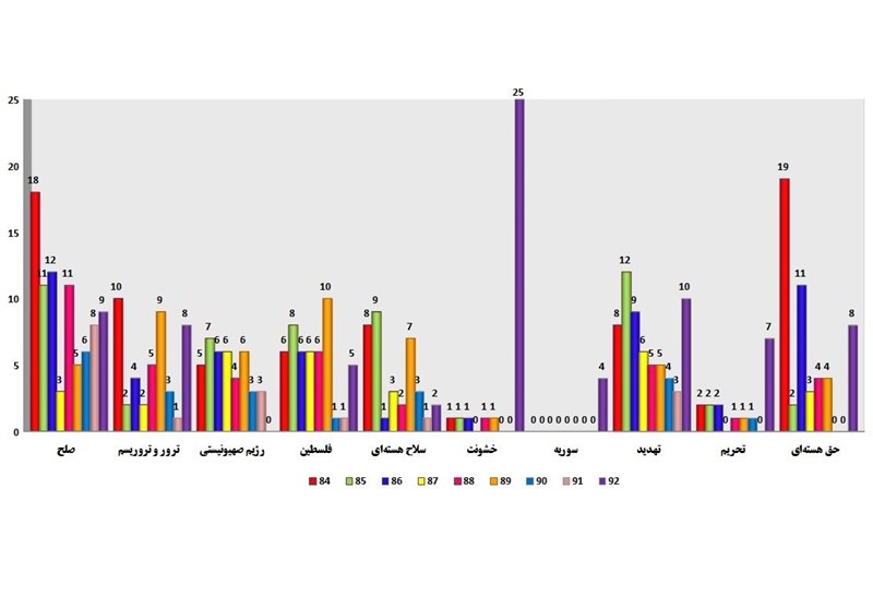
بررسیها نشان میدهد، بیشترین کلیدواژه به کار برده شده در ۸ سخنرانی محمود احمدینژاد در مجمع عمومی سازمان ملل را حق هستهای ایران و بیشترین کلیدواژه در سخنان حجتالاسلام روحانی در مجمع سازمان ملل، پرهیز از خشونت است.
به گزارش بولتن نیوز به نقل از تسنیم، برنامه هستهای ایران سالهاست که به موضوع اصلی سیاست خارجی کشورمان تبدیل شده است. با روی کار آمدن دولتهای جدید هم این موضوع در اوایل هر دوره اهمیت بیشتری پیدا میکند چرا که بسیاری از نامزدهای انتخابات ریاست جمهوری و همچنین روسای جمهور منتخب بیان میکنند که برنامه ویژهای برای حل پرونده هستهای و بیرون آوردن این پرونده از شورای امنیت سازمان ملل دارند.
مجمع عمومی سازمان ملل که اولین فرصت حضور دیپلماتیک روسای جمهور بعد از مراسم تنفیذ و تحلیف است، بهترین فرصت برای بیان راهکارها و مواضع جدید هر دولت بوده و به جرات میتوان گفت در هر دوره ریاست جمهوری مسئلهای که برای اولین بار در سازمان ملل توسط رییسجمهور جدید ایران بیان میشود، ارتباط زیادی به پرونده هستهای کشورمان دارد.
نگاهی به عملکرد و کارنامه روسای جمهور قبلی ایران در سازمان ملل و تحلیل آماری نطقهای آنها در طی 8 تا 9 سال گذشته نشان میدهد گرچه این نطقها به مسایل روز دنیای اسلام، مسایلی که منطقه خاورمیانه با آن رو به رو است و مشکلات جامعه جهانی مربوط بوده است، اما باز هم این ماجرای هستهای است که به محور اصلی نطقهای سالانه محمود احمدینژاد رییسجمهور سابق ایران و حسن روحانی رییسجمهور کنونی کشورمان تبدیل شده است.
روسای جمهور ایران طی سالهای گذشته بارها از صلح جهانی گفتهاند، از بیعدالتی در ساختارهای سیاسی جامعه بینالملل و سازمان ملل انتقاد کرده و به عنوان نمایندهای از دنیای اسلام، خواهان خلع سلاح هستهای و شیمیایی ر ژیمصهیونیستی شدهاند. روسای جمهور با این حال در طی این نه دوره حضور در سازمان ملل بارها بر حق هستهای ملت ایران تاکید کرده، از اوضاع منطقه خاورمیانه و همسایگان کشور سخن گفتهاند و از تهدید هر روزه کشورمان توسط عوامل رژیم صهیونیستی و یا آمریکاییها انتقاد کردهاند.
اما مهمترین بحثهای انجام شده در هر سال حضور ایران در سازمان ملل چه بوده است؟
سال 1384 - رونمایی از چهره جدید ایران بعد از انتخابات دوره نهم
محمود احمدی نژاد در اولین حضور خود در سازمان ملل، چهره جدید ایران را برای جهانیان تصویر کرد؛ چهره جدیدی که حاضر نبود زیر بار زورگویی کشورهای غربی برود و از حق غنیسازی هستهای خود بگذرد. در این سال که سخنرانی رییسجمهور ایران با فضای پر ابهام درباره خروج ایران از پروتکل الحاقی و آغاز شدن دوباره غنیسازی در ایران همراه بود، رسانههای غربی به شدت به دنبال به دست آوردن اخبار جدید در خصوص نحوه ادامه فعالیتهای هستهای کشورمان و نحوه تعامل با دنیای غرب بودند.
در این سال محمود احمدی نژاد پیشنهاد داد کمیتهای ویژه برای ارائه گزارش جامع پیرامون تدوین راهکارهای عملی خلع سلاح هستهای تشکیل شود. در حالی که ایران میخواست دیگر پروتکل الحاقی را اجرا نکند، به سازمان ملل در این سخنرانی پیشنهاد شد رژیمصهیوینستی را وادارند که معاهده منع گسترش سلاحهای هستهای را بپذیرد. احمدی نژاد در این سال 19 بار از حق هستهای ملت ایران، 18 بار از صلح، 10 بار از ترور و تروریسم، 5 بار از رژیم صهیونیستی، یک بار از خشونت، 8 بار از تهدید و 2 بار از تحریم سخن به میان آورد.
سال 85 – نقد صهیونیستها
محمود احمدینژاد سال 85 در حالی در سازمان ملل حضور پیدا کرد که به دلیل تعلیق اجرای پروتکل الحاقی در برنامه هستهای ایران، کشورمان با فشار بیش از اندازه آمریکا و متحدانش و به خصوص رژیمصهیونیستی روبهرو بود. به همین دلیل هم سخنرانی رییسجمهور در این سال به رژیمصهیونیستی و ماهیت اشغالگر و تروریست این رژیم اشاره داشت.
احمدینژادهمچنین با انتقاد از حمایت کشورهای غربی از این رژیم به مدت 6 دقیقه از ضرورت تغییر در ساختار سازمان ملل برای مبارزه با بیعدالتی در جهان سخن گفت. با این حال مسئله فلسطین و اسرائیل 15 بار و تهدید 12 بار در صحبتهای رییس جمهور تکرار شد. علاوه بر آن واژه صلح 11 بار، ترور و تروریسم 2 بار، سلاح هستهای 9 بار، خشونت 1 بار، تحریم 2 بار و حق هستهای ملت ایران 2 بار در سخنان احمدینژاد گنجانده شده بود.
سال 86 – سال پروپاگاندای رسانهای
سال 86، سخنرانی رییسجمهور ایران در سازمان ملل برخلاف سخنرانی دو سال قبل، اهمیت ویژهای نیافت و این گفتوگوهای رسانهای و حضور در دانشگاه کلمبیا بود که به تیتر اصلی رسانههای دنیا مبدل شد. با این حال طبق همان رویه قبلی در این سال نیز به همان اندازه که بخشی از نطق رییسجمهور به رژیمصهیونیستی و مسئله فلسطین اختصاص یافت، به همان اندازه به ماجرای هستهای کشورمان پرداخته شد و موضوع ترور و تروریسم نیز مورد توجه رییسجمهور قرار گرفت.
با این حال صحبتهای سال پیش احمدینژاد در نفی و زیر سوال بردن هلوکاست تاثیر زیادی بر جوسازیهای رسانهای متحدان اسرائیل در دنیا داشت و بازگو شدن مسئله ترور و رژیم صهیونیستی برای روشن کردن ابعاد و ماهیت اصلی این رژیم بود. او در این سال 12 بار از صلح، 4 بار از ترور و تروریسم، 6 بار از رژیم صهیونیستی، 6 بار از فلسطین و اشغال فلسطین، یک بار از کلاهک هستهای، 1 بار از خشونت، 9 بار از تهدید، 2 بار از تحریم و 11 بار از حق هستهای ایران سخن گفت.
سال 87 – سال تبیین ماهیت رژیم صهیونیستی
گرچه طی سالهای گذشته محمود احمدی نژاد به واسطه گفتههایش درباره اسرائیل و ماهیت تروریستی این رژیم، جنجال زیادی برپا کرده بود و قطعنامههای زیادی تحت تاثیر لابیصهیوینستی در شورای امنیت سازمان ملل علیه ایران تصویب شده بود، با این حال او دست از افشا کردن ماهیت صهیونیستها برنداشت و در سال 87 نیز با وجود اینکه تعدادی از سران کشورها در هنگام نطق احمدینژاد، سالن را ترک کردند، او باز هم در گفتوگوها و سخنرانیهای خود به ماهیت اصلی این رژیم اشاره کرد.
او در این سال بر خلاف رویه سابق با اینکه تهدیدها علیه ملت ایران بالا گرفته بود، زیاد از این واژه استفاده نکرد اما مسئله رژیم صهیونیستی و فلسطین همچنان محور اصلی صحبتهای رییسجمهور بود. او در این سال 3 بار از صلح، 2 بار از ترور و تروریسم: 2بار، 3 بار از سلاح هستهای، 3 بار از حق هستهای ایران و 6 بار از واژه رژیم صهیونیستی، فلسطین و اشغال فلسطین و تهدید سخن به میان آورد.
سال 88- سال پرتنش ایران در داخل و خارج از کشور
سال 88 سال پر تنشی برای سیاستداخلی و البته دیپلماسی کشور بود. حوادث بعد از انتخابات سال 88 و تصویری که رسانههای خارجی از ایران به مخاطبان خود ارائه داده بودند، باعث شد 44 کشور در زمان سخنرانی رییسجمهور از محل مجمع عمومی خارج شوند. این حرکت هماهنگ شده به وسیله صهیونیستها اما مانع از این نشد که به مسئله فلسطین، ساختار غیر عادلانه سازمان ملل و حق هستهای ملت ایران اشاره نشود.
در این سال محمود احمدینژاد بیشتر از قبل به پرونده هستهای کشورمان پرداخت و باز هم بیشترین حجم از سخنرانی او را مسئله فلسطین و رژیمصهیونیستی تشکیل داد. او با این حال مثال سالهای پیش به مسئله صلح جهانی نیز پرداخت و با وجود اینکه تحریمها علیه ملت ایران روز به روز بیشتر میشد، برای اینکه اعلام کند تحریمها تاثیری بر اراده ملت ایران ندارد و اقتصاد کشور را نیز دستخوش تغییر نمیکند تنها یک بار از تحریمها سخن گفت.
او در این سال 11 بار از صلح، 5 بار از ترور و تروریسم، 4 بار از رژیمصهیونیستی، 6 بار از فلسطین و اشغال فلسطین، 2 بار از سلاح هستهای، 1 بار از خشونت، 5 بار از تهدید و 4 بار از حق هستهای کشورمان سخن گفت.
سال 89 – سال سیاست تهاجمی علیه دولت امریکا
سال 89 سال مهمی در روابط ایران و آمریکا بود. سالی که محمود احمدینژاد از سازمان ملل خواست تیمی ویژه برای بررسی حادثه 11 سپتامبر تشکیل دهد و اعلام کند آیا واقعا این کار توسط مسلمانان انجام شد و یا اقدامی داخلی برای توجیه جنگافروزیهای آمریکا در منطقه خاورمیانه بوده است. این صحبتهای احمدینژاد با عصبانیت بسیار صهیونیستها و البته دولت آمریکا روبهرو شد و باراک اوباما را وادار کرد تا در گفتوگویی تلویزیونی اعلام کند که این گفتار نفرتانگیز بوده است.
در این سال احمدینژاد بیش از هر زمان دیگری از ترور و تروریسم سخن گفت و میخواست نشان دهد حمله به کشورهای عراق و افغانستان و تهدید روز افزون کشورهای خاورمیانه توسط آمریکا هیچ ارتباطی با مسئله 11 سپتامبر ندارد. او در این سال 5 بار از صلح، 9 بار از ترور و تروریسم، 6 بار از رژیم صهیونیستی، 10 بار از فلسطین و اشغال فلسطین، 7 بار از سلاح هستهای، یک بار از خشونت، 5 بار از تهدید، 1 بار از تحریم و 4 بار از حق هسته ای ایران سخن گفت.
سال 90 – سال تلاش برای توافق هستهای
در سال 90، یک بند از پیشنهادات احمدینژاد در خصوص برنامه هستهای ایران در سخنرانی سازمان ملل بود. رییسجمهور ایران پیشنهادی در نیویورک مطرح کرد که مطابق آن اگر آمریکا و غرب سوخت لازم برای رآکتور تحقیقاتی تهران که کار رادیودارو را انجام میدهد، به ایران تحویل دهند، ایران از غنیسازی بیشتر اورانیوم با غنای 20 درصد خودداری خواهد کرد.
در این سال به نسبت سالهای پیش کمتر از رژیم صهیونیستی و مسئله فلسطین صحبتی به میان آمد. با این حال توافق هستهای احمدی نژاد هیچگاه محقق نشد. او در این سال 6 بار از صلح، 3 بار از ترور و تروریسم، 3 بار از رژیم صهیونیستی، 1 بار از فلسطین و اشغال آن، 3 بار از سلاح هستهای، 4 بار از تهدید و 1 بار از تحریم سخن گفت. با این حال او هیچ اشارهای به حق هستهای ایران نداشت.
سال 91- سال شعارهای تبلیغاتی
سال 91 اولین سال پس از اعلام غرب درخصوص اعمال تحریمهای فلج کننده علیه ایران به جهت برنامه هستهای بود. با این حال احمدینژاد هیچ صحبتی از پرونده هستهای کشورمان به میان نیاورد و ترجیح داد شعارهای تبلیغاتیای چون "زنده باد بهار" را در مجمع عمومی سازمان ملل سر دهد.
او 8 بار از صلح گفت و تنها 3 بار اشارهای به رژیمصهیونیستی داشت. او در شرایطی از پرونده هستهای کشورمان صحبتی به میان نیاورد که نخست وزیر رژیمصهیونیستی با ارائه نقاشیای کودکانه در سازمان ملل، تنها به برنامه هستهای کشورمان اشاره و آن را تهدید بزرگ برای امنیت جهان و اسراییل عنوان کرد. احمدینژاد در این نشست 1 بار از ترور و تروریسم، 1 بار از فلسطین، 1 بار از سلاح هستهای و 3 بار از تحریم سخن گفت.
سال 92 – معرفی چهره جدید ایران به جهانیان
با پیروزی حسن روحانی در انتخابات ریاستجمهوری خرداد92 و پیروزی گفتمان اعتدال، بسیاری از رهبران جهان در انتظار بودند ببینند ایران چه صحبت جدیدی برای دنیا دارد و چهره جدید مردم ایران حاوی چه ویژگیها و نکاتی است.
حجت الاسلام روحانی در سخنرانی خود در سازمان ملل پس از هشت سال توجه ویژه به رژیمصهیونیستی، برای اولین بار هیچ حرفی از این رژیم به میان نیاورد و تنها در 5 مورد به حقوق فلسطینیان اشاره کرد. او با این حال به دلیل شرایط منطقه و به خصوص بحران سوریه -که در هیچ یک از سخنان اخیر احمدینژاد ردی از آن به چشم نمیخورد- 25 بار از کلمه خشونت استفاده کرد و در مجموع 15 مرتبه هم از حق هستهای ایران و تحریمهای ظالمانهای که علیه ملت ایران روا داشته شده، صحبت کرد.
روحانی به راهکارهای خود برای پرونده هستهای کشورمان نیز اشاره و بر ضرورت گفتوگوی میان غرب و ایران تاکید کرد. روحانی در اولین حضورش در مجمع عمومی سازمان ملل، 9 بار از صلح، 8 بار از ترور و تروریزم،2 بار از سلاح هستهای، 4 بار از سوریه، 10 بار از تهدید، 7 بار از تحریم سخن گفت.

مجمع عمومی سازمان ملل که اولین فرصت حضور دیپلماتیک روسای جمهور بعد از مراسم تنفیذ و تحلیف است، بهترین فرصت برای بیان راهکارها و مواضع جدید هر دولت بوده و به جرات میتوان گفت در هر دوره ریاست جمهوری مسئلهای که برای اولین بار در سازمان ملل توسط رییسجمهور جدید ایران بیان میشود، ارتباط زیادی به پرونده هستهای کشورمان دارد.
نگاهی به عملکرد و کارنامه روسای جمهور قبلی ایران در سازمان ملل و تحلیل آماری نطقهای آنها در طی 8 تا 9 سال گذشته نشان میدهد گرچه این نطقها به مسایل روز دنیای اسلام، مسایلی که منطقه خاورمیانه با آن رو به رو است و مشکلات جامعه جهانی مربوط بوده است، اما باز هم این ماجرای هستهای است که به محور اصلی نطقهای سالانه محمود احمدینژاد رییسجمهور سابق ایران و حسن روحانی رییسجمهور کنونی کشورمان تبدیل شده است.
روسای جمهور ایران طی سالهای گذشته بارها از صلح جهانی گفتهاند، از بیعدالتی در ساختارهای سیاسی جامعه بینالملل و سازمان ملل انتقاد کرده و به عنوان نمایندهای از دنیای اسلام، خواهان خلع سلاح هستهای و شیمیایی ر ژیمصهیونیستی شدهاند. روسای جمهور با این حال در طی این نه دوره حضور در سازمان ملل بارها بر حق هستهای ملت ایران تاکید کرده، از اوضاع منطقه خاورمیانه و همسایگان کشور سخن گفتهاند و از تهدید هر روزه کشورمان توسط عوامل رژیم صهیونیستی و یا آمریکاییها انتقاد کردهاند.
اما مهمترین بحثهای انجام شده در هر سال حضور ایران در سازمان ملل چه بوده است؟
سال 1384 - رونمایی از چهره جدید ایران بعد از انتخابات دوره نهم
محمود احمدی نژاد در اولین حضور خود در سازمان ملل، چهره جدید ایران را برای جهانیان تصویر کرد؛ چهره جدیدی که حاضر نبود زیر بار زورگویی کشورهای غربی برود و از حق غنیسازی هستهای خود بگذرد. در این سال که سخنرانی رییسجمهور ایران با فضای پر ابهام درباره خروج ایران از پروتکل الحاقی و آغاز شدن دوباره غنیسازی در ایران همراه بود، رسانههای غربی به شدت به دنبال به دست آوردن اخبار جدید در خصوص نحوه ادامه فعالیتهای هستهای کشورمان و نحوه تعامل با دنیای غرب بودند.
در این سال محمود احمدی نژاد پیشنهاد داد کمیتهای ویژه برای ارائه گزارش جامع پیرامون تدوین راهکارهای عملی خلع سلاح هستهای تشکیل شود. در حالی که ایران میخواست دیگر پروتکل الحاقی را اجرا نکند، به سازمان ملل در این سخنرانی پیشنهاد شد رژیمصهیوینستی را وادارند که معاهده منع گسترش سلاحهای هستهای را بپذیرد. احمدی نژاد در این سال 19 بار از حق هستهای ملت ایران، 18 بار از صلح، 10 بار از ترور و تروریسم، 5 بار از رژیم صهیونیستی، یک بار از خشونت، 8 بار از تهدید و 2 بار از تحریم سخن به میان آورد.
سال 85 – نقد صهیونیستها
محمود احمدینژاد سال 85 در حالی در سازمان ملل حضور پیدا کرد که به دلیل تعلیق اجرای پروتکل الحاقی در برنامه هستهای ایران، کشورمان با فشار بیش از اندازه آمریکا و متحدانش و به خصوص رژیمصهیونیستی روبهرو بود. به همین دلیل هم سخنرانی رییسجمهور در این سال به رژیمصهیونیستی و ماهیت اشغالگر و تروریست این رژیم اشاره داشت.
احمدینژادهمچنین با انتقاد از حمایت کشورهای غربی از این رژیم به مدت 6 دقیقه از ضرورت تغییر در ساختار سازمان ملل برای مبارزه با بیعدالتی در جهان سخن گفت. با این حال مسئله فلسطین و اسرائیل 15 بار و تهدید 12 بار در صحبتهای رییس جمهور تکرار شد. علاوه بر آن واژه صلح 11 بار، ترور و تروریسم 2 بار، سلاح هستهای 9 بار، خشونت 1 بار، تحریم 2 بار و حق هستهای ملت ایران 2 بار در سخنان احمدینژاد گنجانده شده بود.
سال 86 – سال پروپاگاندای رسانهای
سال 86، سخنرانی رییسجمهور ایران در سازمان ملل برخلاف سخنرانی دو سال قبل، اهمیت ویژهای نیافت و این گفتوگوهای رسانهای و حضور در دانشگاه کلمبیا بود که به تیتر اصلی رسانههای دنیا مبدل شد. با این حال طبق همان رویه قبلی در این سال نیز به همان اندازه که بخشی از نطق رییسجمهور به رژیمصهیونیستی و مسئله فلسطین اختصاص یافت، به همان اندازه به ماجرای هستهای کشورمان پرداخته شد و موضوع ترور و تروریسم نیز مورد توجه رییسجمهور قرار گرفت.
با این حال صحبتهای سال پیش احمدینژاد در نفی و زیر سوال بردن هلوکاست تاثیر زیادی بر جوسازیهای رسانهای متحدان اسرائیل در دنیا داشت و بازگو شدن مسئله ترور و رژیم صهیونیستی برای روشن کردن ابعاد و ماهیت اصلی این رژیم بود. او در این سال 12 بار از صلح، 4 بار از ترور و تروریسم، 6 بار از رژیم صهیونیستی، 6 بار از فلسطین و اشغال فلسطین، یک بار از کلاهک هستهای، 1 بار از خشونت، 9 بار از تهدید، 2 بار از تحریم و 11 بار از حق هستهای ایران سخن گفت.
سال 87 – سال تبیین ماهیت رژیم صهیونیستی
گرچه طی سالهای گذشته محمود احمدی نژاد به واسطه گفتههایش درباره اسرائیل و ماهیت تروریستی این رژیم، جنجال زیادی برپا کرده بود و قطعنامههای زیادی تحت تاثیر لابیصهیوینستی در شورای امنیت سازمان ملل علیه ایران تصویب شده بود، با این حال او دست از افشا کردن ماهیت صهیونیستها برنداشت و در سال 87 نیز با وجود اینکه تعدادی از سران کشورها در هنگام نطق احمدینژاد، سالن را ترک کردند، او باز هم در گفتوگوها و سخنرانیهای خود به ماهیت اصلی این رژیم اشاره کرد.
او در این سال بر خلاف رویه سابق با اینکه تهدیدها علیه ملت ایران بالا گرفته بود، زیاد از این واژه استفاده نکرد اما مسئله رژیم صهیونیستی و فلسطین همچنان محور اصلی صحبتهای رییسجمهور بود. او در این سال 3 بار از صلح، 2 بار از ترور و تروریسم: 2بار، 3 بار از سلاح هستهای، 3 بار از حق هستهای ایران و 6 بار از واژه رژیم صهیونیستی، فلسطین و اشغال فلسطین و تهدید سخن به میان آورد.
سال 88- سال پرتنش ایران در داخل و خارج از کشور
سال 88 سال پر تنشی برای سیاستداخلی و البته دیپلماسی کشور بود. حوادث بعد از انتخابات سال 88 و تصویری که رسانههای خارجی از ایران به مخاطبان خود ارائه داده بودند، باعث شد 44 کشور در زمان سخنرانی رییسجمهور از محل مجمع عمومی خارج شوند. این حرکت هماهنگ شده به وسیله صهیونیستها اما مانع از این نشد که به مسئله فلسطین، ساختار غیر عادلانه سازمان ملل و حق هستهای ملت ایران اشاره نشود.
در این سال محمود احمدینژاد بیشتر از قبل به پرونده هستهای کشورمان پرداخت و باز هم بیشترین حجم از سخنرانی او را مسئله فلسطین و رژیمصهیونیستی تشکیل داد. او با این حال مثال سالهای پیش به مسئله صلح جهانی نیز پرداخت و با وجود اینکه تحریمها علیه ملت ایران روز به روز بیشتر میشد، برای اینکه اعلام کند تحریمها تاثیری بر اراده ملت ایران ندارد و اقتصاد کشور را نیز دستخوش تغییر نمیکند تنها یک بار از تحریمها سخن گفت.
او در این سال 11 بار از صلح، 5 بار از ترور و تروریسم، 4 بار از رژیمصهیونیستی، 6 بار از فلسطین و اشغال فلسطین، 2 بار از سلاح هستهای، 1 بار از خشونت، 5 بار از تهدید و 4 بار از حق هستهای کشورمان سخن گفت.
سال 89 – سال سیاست تهاجمی علیه دولت امریکا
سال 89 سال مهمی در روابط ایران و آمریکا بود. سالی که محمود احمدینژاد از سازمان ملل خواست تیمی ویژه برای بررسی حادثه 11 سپتامبر تشکیل دهد و اعلام کند آیا واقعا این کار توسط مسلمانان انجام شد و یا اقدامی داخلی برای توجیه جنگافروزیهای آمریکا در منطقه خاورمیانه بوده است. این صحبتهای احمدینژاد با عصبانیت بسیار صهیونیستها و البته دولت آمریکا روبهرو شد و باراک اوباما را وادار کرد تا در گفتوگویی تلویزیونی اعلام کند که این گفتار نفرتانگیز بوده است.
در این سال احمدینژاد بیش از هر زمان دیگری از ترور و تروریسم سخن گفت و میخواست نشان دهد حمله به کشورهای عراق و افغانستان و تهدید روز افزون کشورهای خاورمیانه توسط آمریکا هیچ ارتباطی با مسئله 11 سپتامبر ندارد. او در این سال 5 بار از صلح، 9 بار از ترور و تروریسم، 6 بار از رژیم صهیونیستی، 10 بار از فلسطین و اشغال فلسطین، 7 بار از سلاح هستهای، یک بار از خشونت، 5 بار از تهدید، 1 بار از تحریم و 4 بار از حق هسته ای ایران سخن گفت.
سال 90 – سال تلاش برای توافق هستهای
در سال 90، یک بند از پیشنهادات احمدینژاد در خصوص برنامه هستهای ایران در سخنرانی سازمان ملل بود. رییسجمهور ایران پیشنهادی در نیویورک مطرح کرد که مطابق آن اگر آمریکا و غرب سوخت لازم برای رآکتور تحقیقاتی تهران که کار رادیودارو را انجام میدهد، به ایران تحویل دهند، ایران از غنیسازی بیشتر اورانیوم با غنای 20 درصد خودداری خواهد کرد.
در این سال به نسبت سالهای پیش کمتر از رژیم صهیونیستی و مسئله فلسطین صحبتی به میان آمد. با این حال توافق هستهای احمدی نژاد هیچگاه محقق نشد. او در این سال 6 بار از صلح، 3 بار از ترور و تروریسم، 3 بار از رژیم صهیونیستی، 1 بار از فلسطین و اشغال آن، 3 بار از سلاح هستهای، 4 بار از تهدید و 1 بار از تحریم سخن گفت. با این حال او هیچ اشارهای به حق هستهای ایران نداشت.
سال 91- سال شعارهای تبلیغاتی
سال 91 اولین سال پس از اعلام غرب درخصوص اعمال تحریمهای فلج کننده علیه ایران به جهت برنامه هستهای بود. با این حال احمدینژاد هیچ صحبتی از پرونده هستهای کشورمان به میان نیاورد و ترجیح داد شعارهای تبلیغاتیای چون "زنده باد بهار" را در مجمع عمومی سازمان ملل سر دهد.
او 8 بار از صلح گفت و تنها 3 بار اشارهای به رژیمصهیونیستی داشت. او در شرایطی از پرونده هستهای کشورمان صحبتی به میان نیاورد که نخست وزیر رژیمصهیونیستی با ارائه نقاشیای کودکانه در سازمان ملل، تنها به برنامه هستهای کشورمان اشاره و آن را تهدید بزرگ برای امنیت جهان و اسراییل عنوان کرد. احمدینژاد در این نشست 1 بار از ترور و تروریسم، 1 بار از فلسطین، 1 بار از سلاح هستهای و 3 بار از تحریم سخن گفت.
سال 92 – معرفی چهره جدید ایران به جهانیان
با پیروزی حسن روحانی در انتخابات ریاستجمهوری خرداد92 و پیروزی گفتمان اعتدال، بسیاری از رهبران جهان در انتظار بودند ببینند ایران چه صحبت جدیدی برای دنیا دارد و چهره جدید مردم ایران حاوی چه ویژگیها و نکاتی است.
حجت الاسلام روحانی در سخنرانی خود در سازمان ملل پس از هشت سال توجه ویژه به رژیمصهیونیستی، برای اولین بار هیچ حرفی از این رژیم به میان نیاورد و تنها در 5 مورد به حقوق فلسطینیان اشاره کرد. او با این حال به دلیل شرایط منطقه و به خصوص بحران سوریه -که در هیچ یک از سخنان اخیر احمدینژاد ردی از آن به چشم نمیخورد- 25 بار از کلمه خشونت استفاده کرد و در مجموع 15 مرتبه هم از حق هستهای ایران و تحریمهای ظالمانهای که علیه ملت ایران روا داشته شده، صحبت کرد.
روحانی به راهکارهای خود برای پرونده هستهای کشورمان نیز اشاره و بر ضرورت گفتوگوی میان غرب و ایران تاکید کرد. روحانی در اولین حضورش در مجمع عمومی سازمان ملل، 9 بار از صلح، 8 بار از ترور و تروریزم،2 بار از سلاح هستهای، 4 بار از سوریه، 10 بار از تهدید، 7 بار از تحریم سخن گفت.

شما می توانید مطالب و تصاویر خود را به آدرس زیر ارسال فرمایید.
bultannews@gmail.com



لطفا اگه کسی متوجه شد نتیجشو بهم بگه.